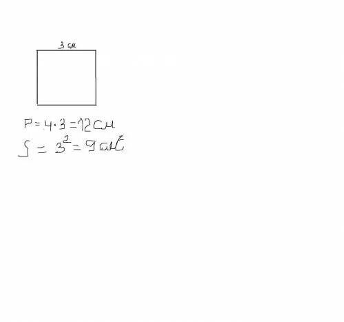
Найти площадь квадрата со стороной 6см