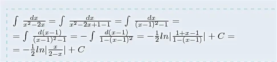
Найти первообразные для функции 2x 5 3x