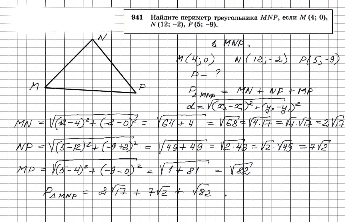
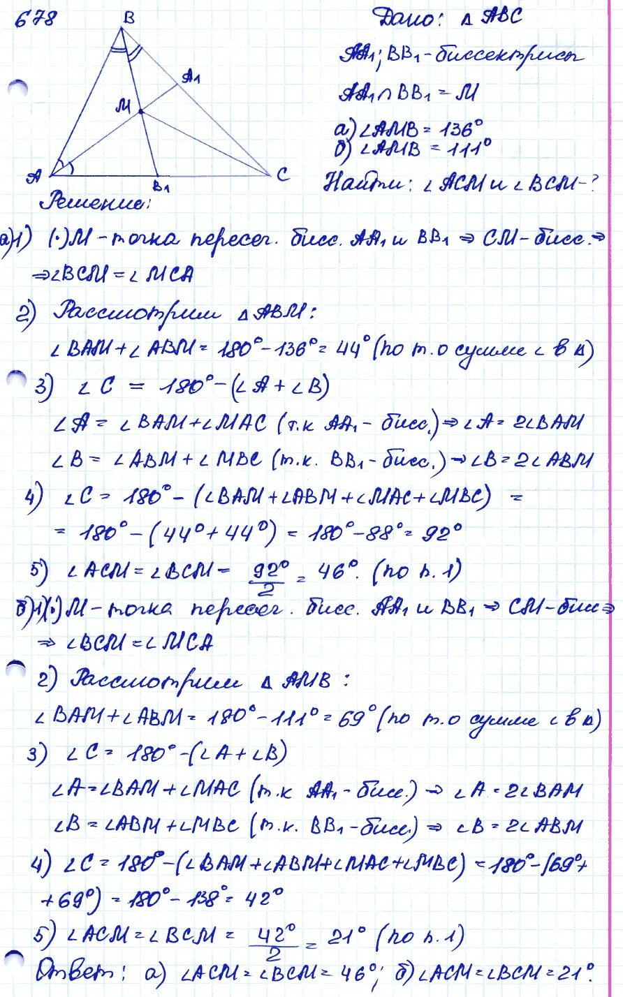
Найти ответ по геометрии 9 класс