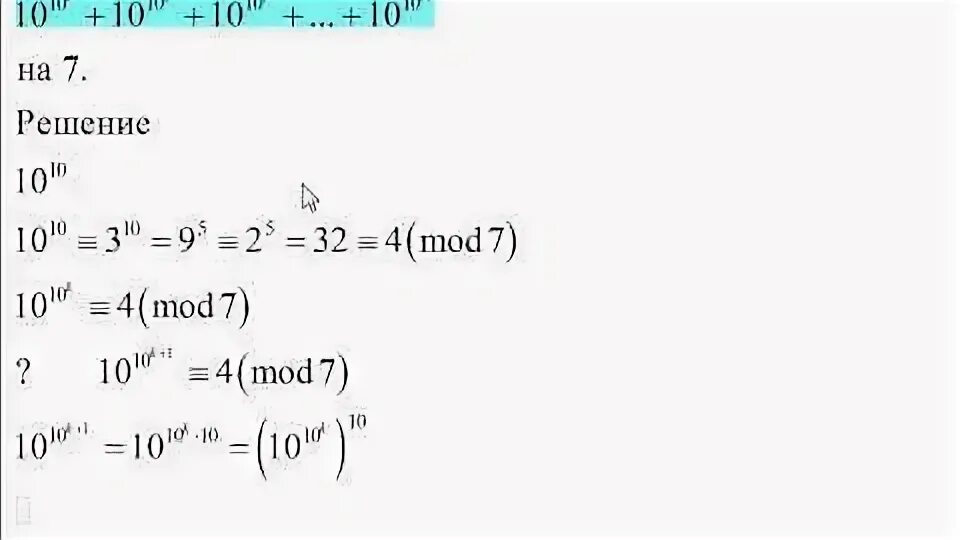
Найти остаток от деления числа в степени