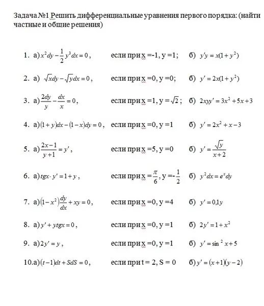
Найти общее решение линейных дифференциальных уравнений