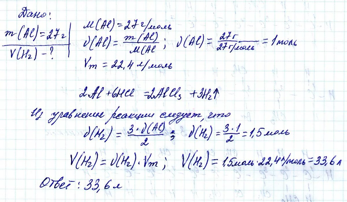
Найти объем водорода массой