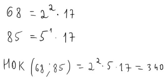
Найти нок 17 и 68