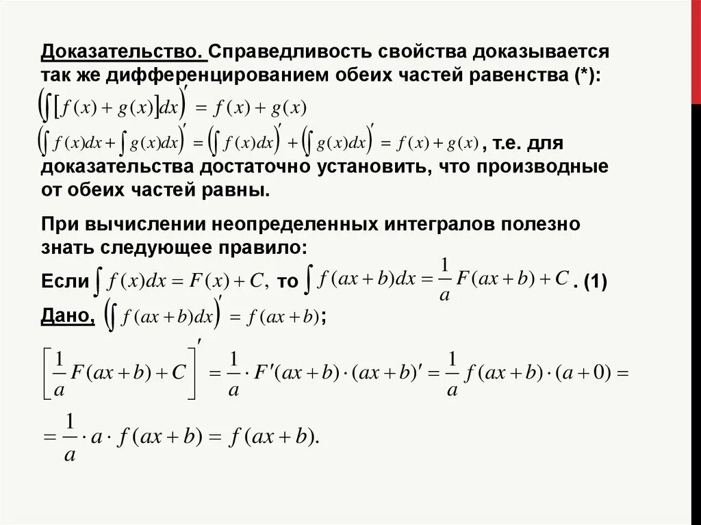
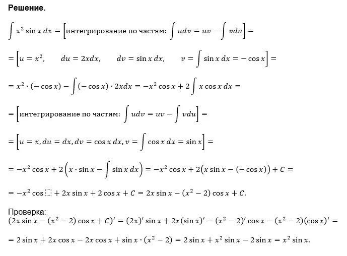
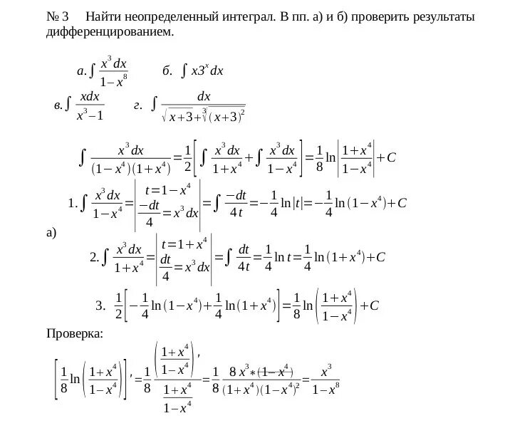
Найти неопределенные интегралы результаты проверить дифференцированием