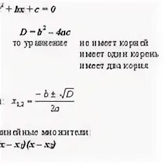
Найти координаты вершины параболы x2 4x 5