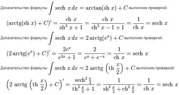
Найти интегралы калькулятор с подробным решением