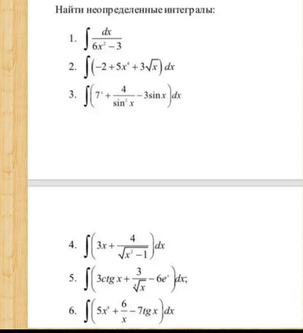
Найти интеграл в точке