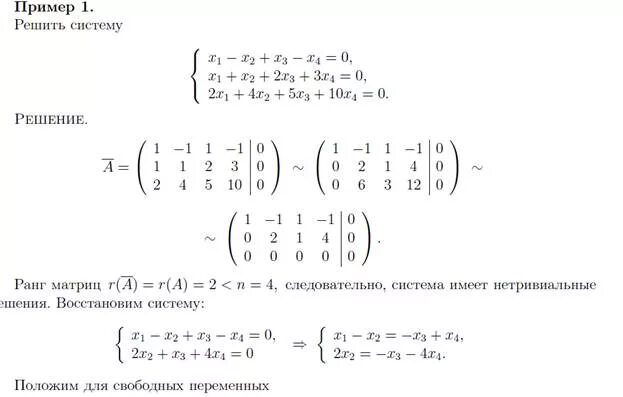
Найти фундаментальную систему решений системы линейных уравнений