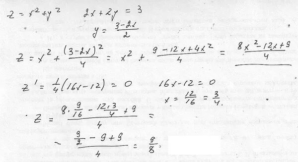
Найти экстремумы функции y 2x