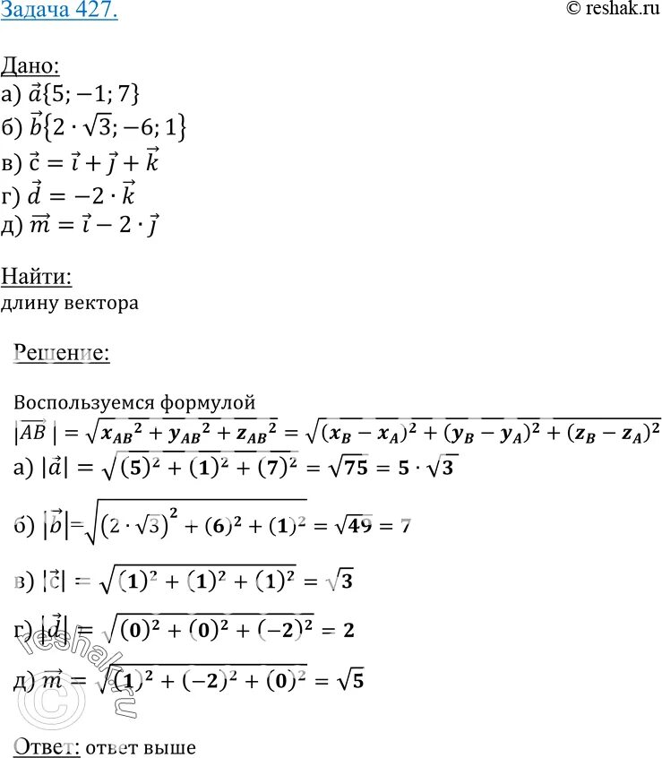
Найти длину вектора 4 5 3