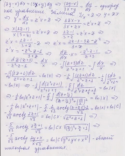
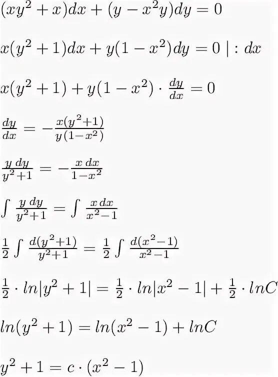
Найти d y y x 10