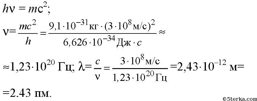
Найти частоту и длину волны излучения