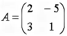
Найти алгебраическое дополнение а32