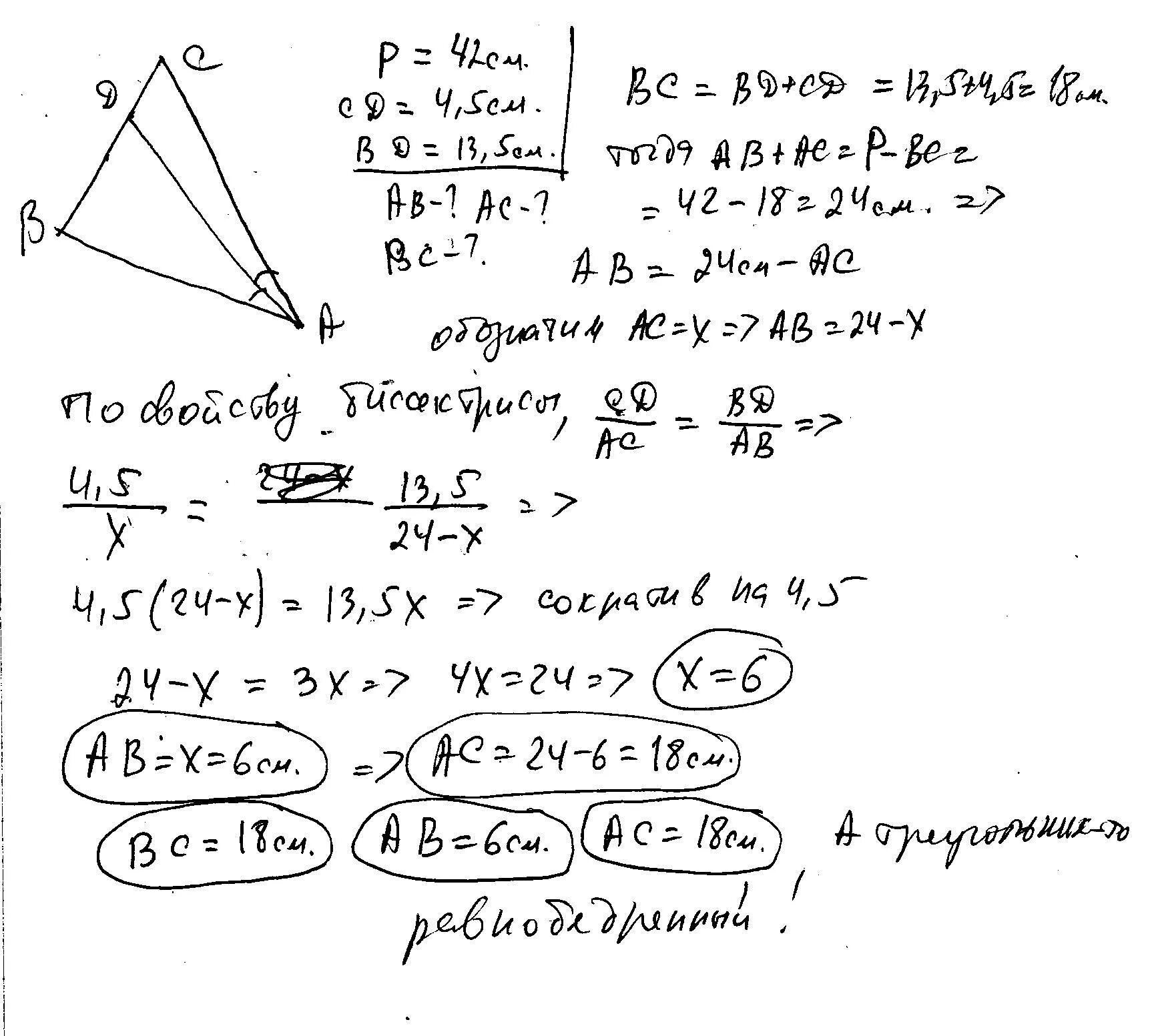
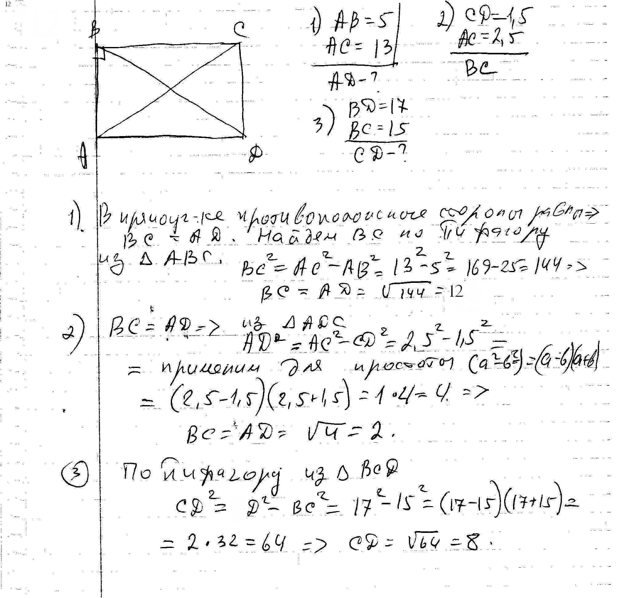
Найти ad если bd равен 5