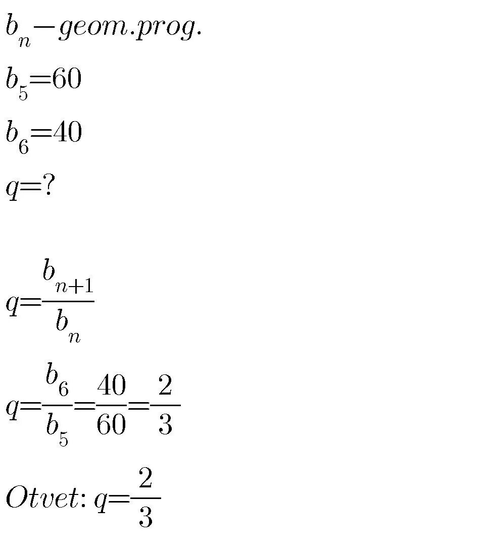
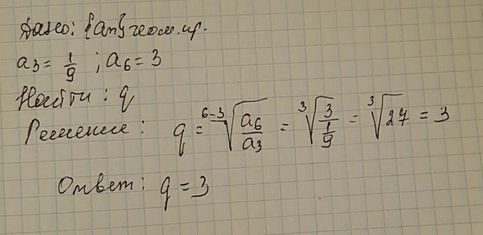
Найдите знаменатель геометрической прогрессии b если