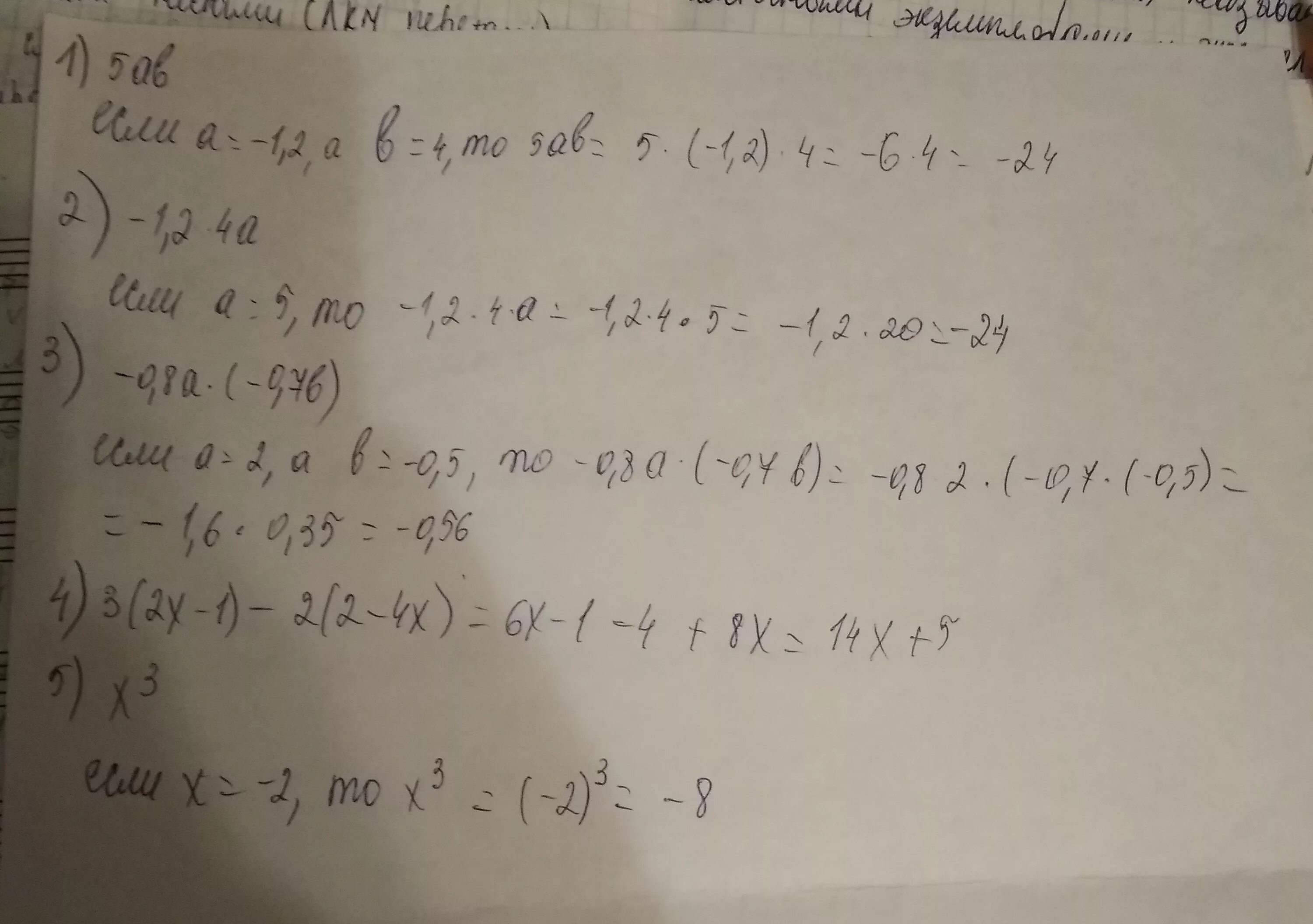
Найдите значения выражения 41