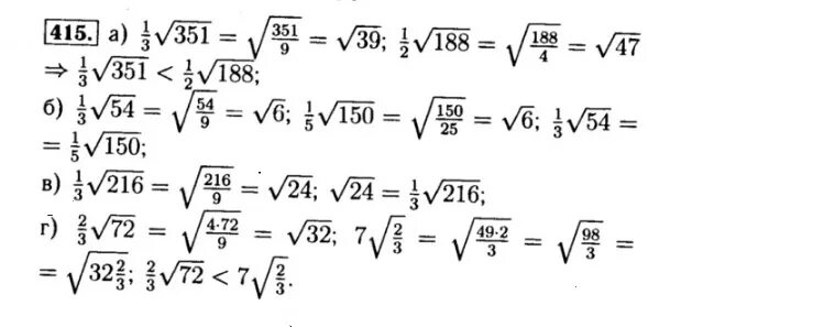
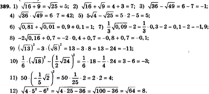
Найдите значение выражения корень 8 50