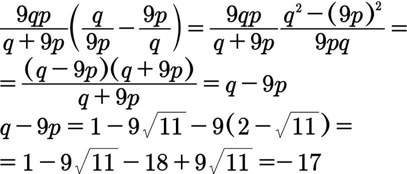
Найдите значение выражения 9p3 при p