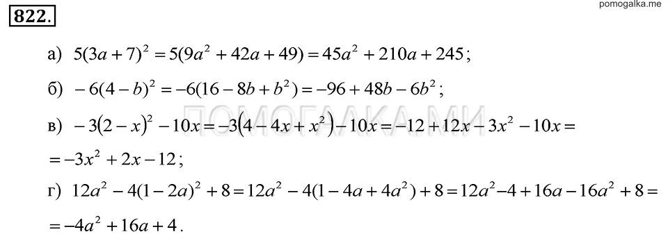
Найдите значение выражения 7 класс алгебра макарычев