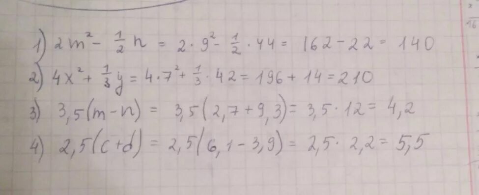
Найдите значение выражения 4 m2