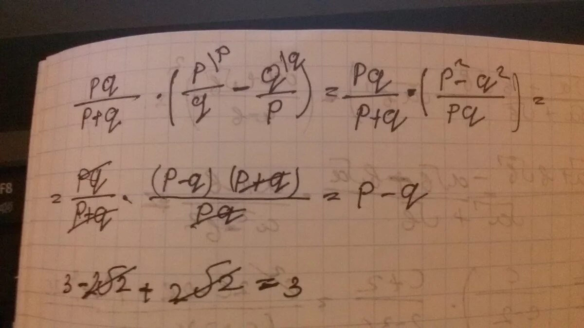
Найдите значение выражения 3 p