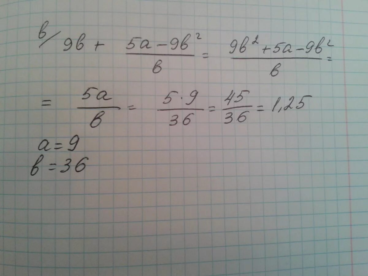
Найдите значение выражений 18 36 9