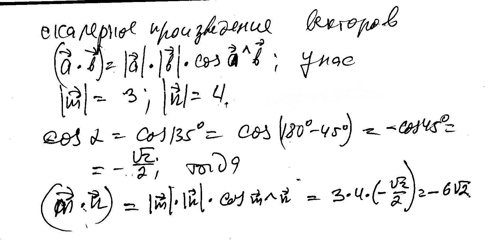
Найдите значение вектора m и n