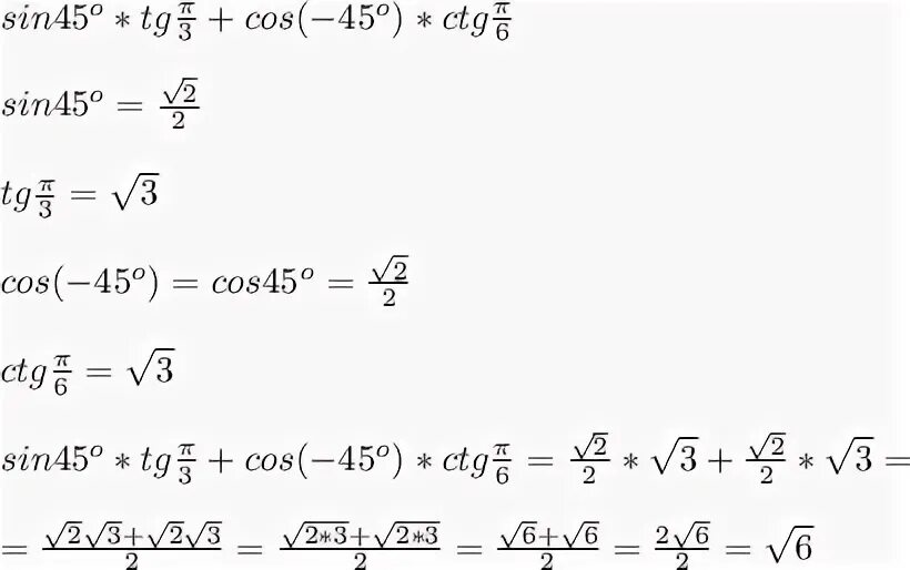
Найдите значение sin 780