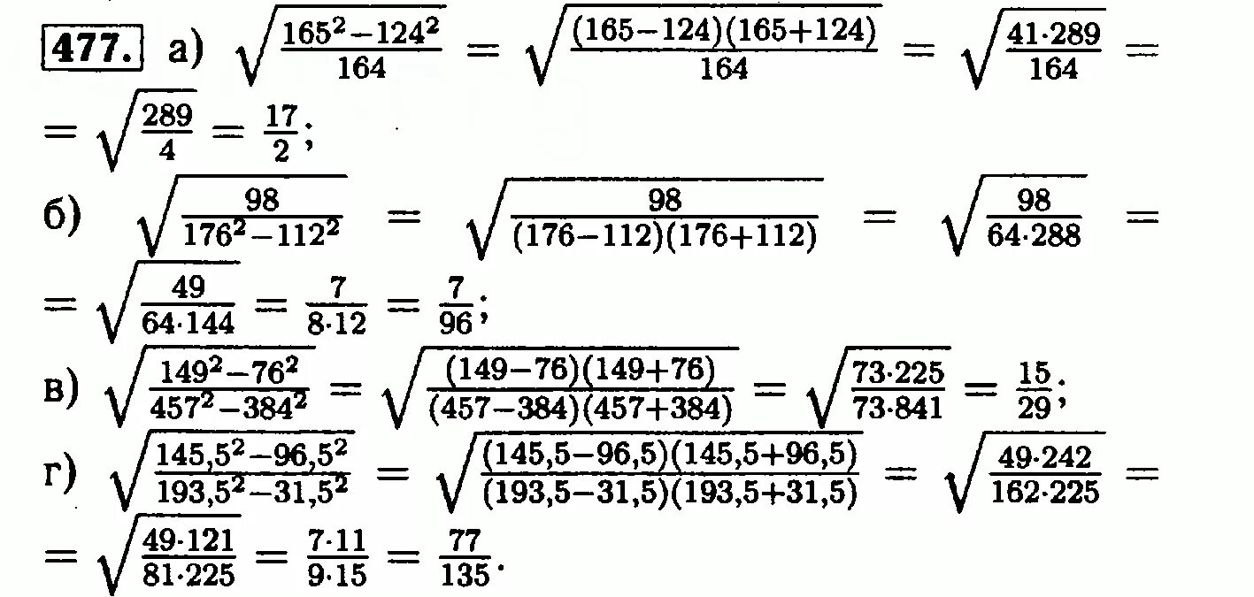
Найдите значение корня 16