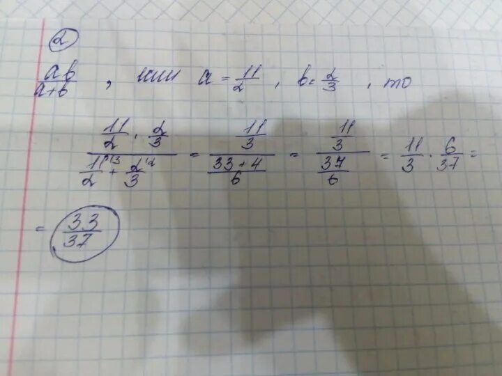
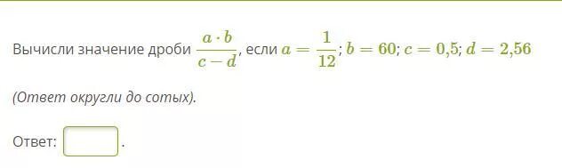
Найдите значение дроби a 2 a