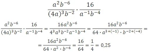
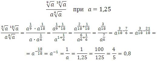
Найдите выражение 31 3 31 3