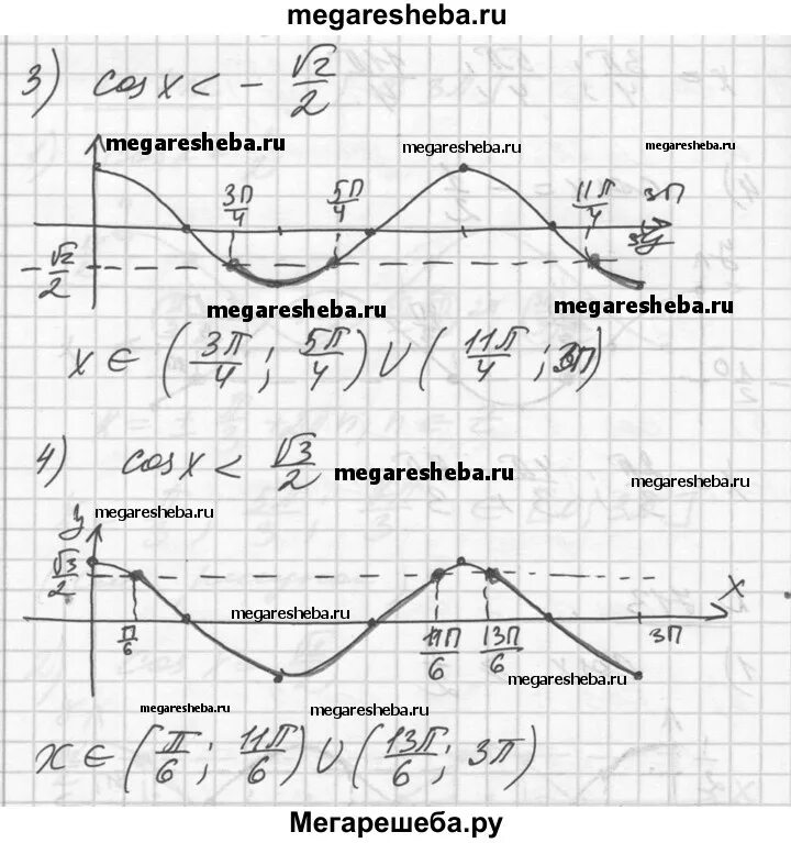
Найдите все решения неравенства принадлежащие отрезку