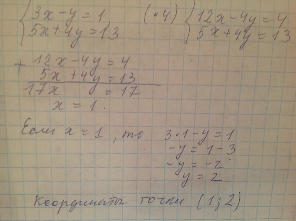
Найдите точку пересечения прямых у х 1