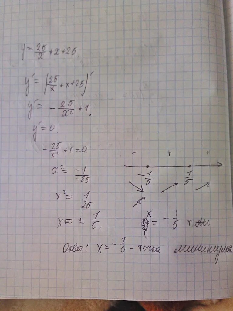
Найдите точку минимума 25 x x 25