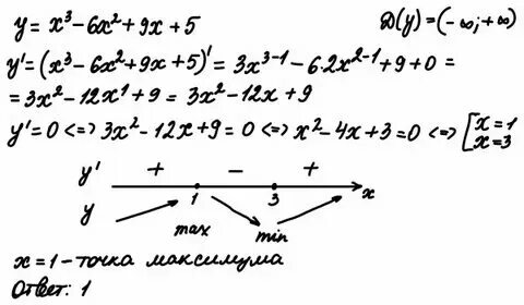
Найдите точку максимума х3 6х2 9х 5