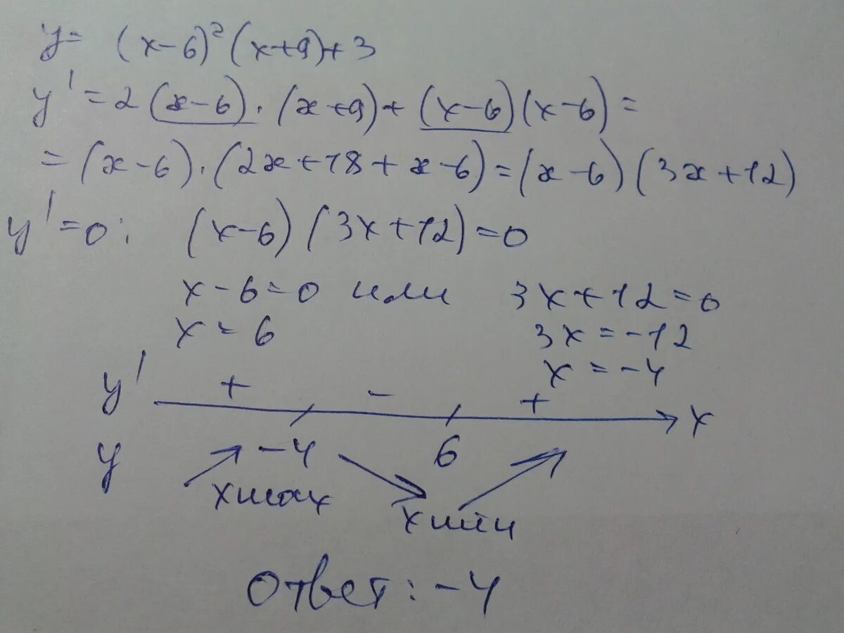
Найдите точку максимума функции y 9x2 x3