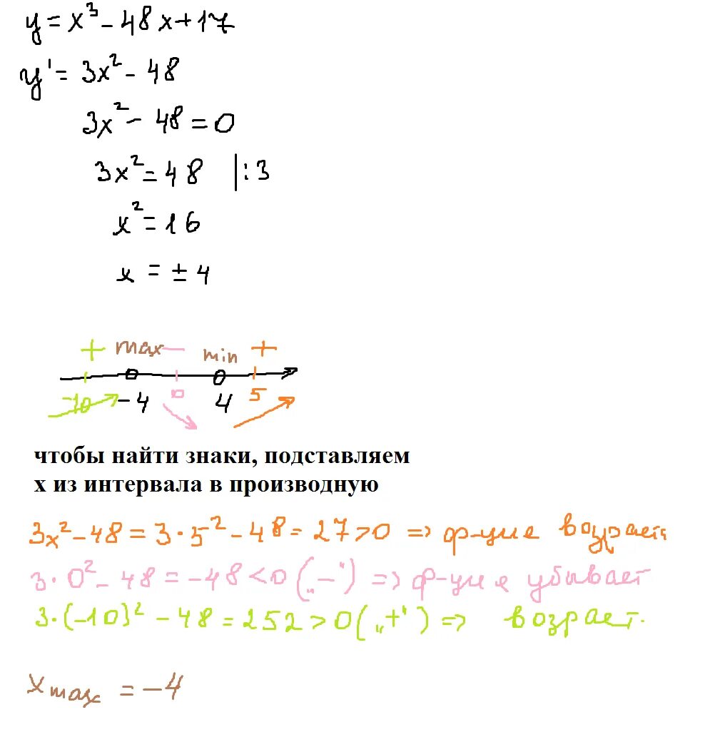
Найдите точку максимума функции у x 3