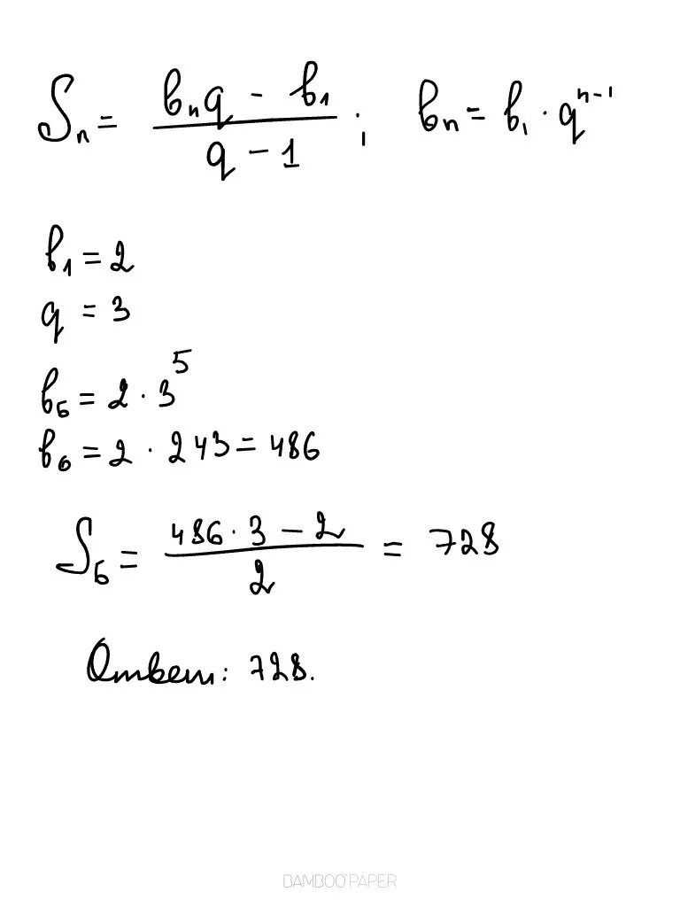
Найдите сумму геометрической прогрессии 2