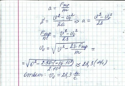
Найдите силу сообщающую автомобилю массой 3.2 т