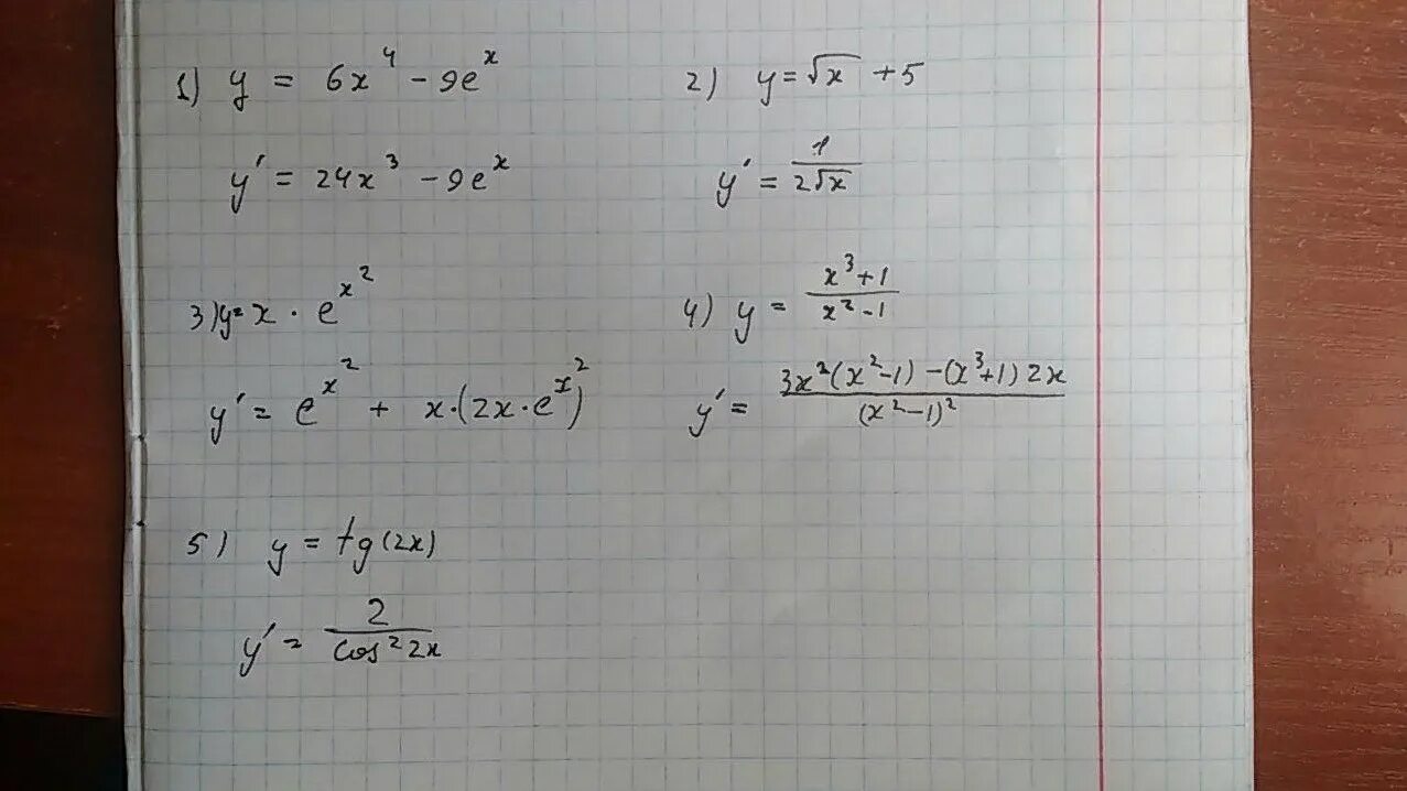
Найдите производную функции y 5 х