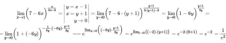
Найдите предел функции lim x 6 3