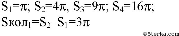
Найдите площадь 1 4 круга радиус которого