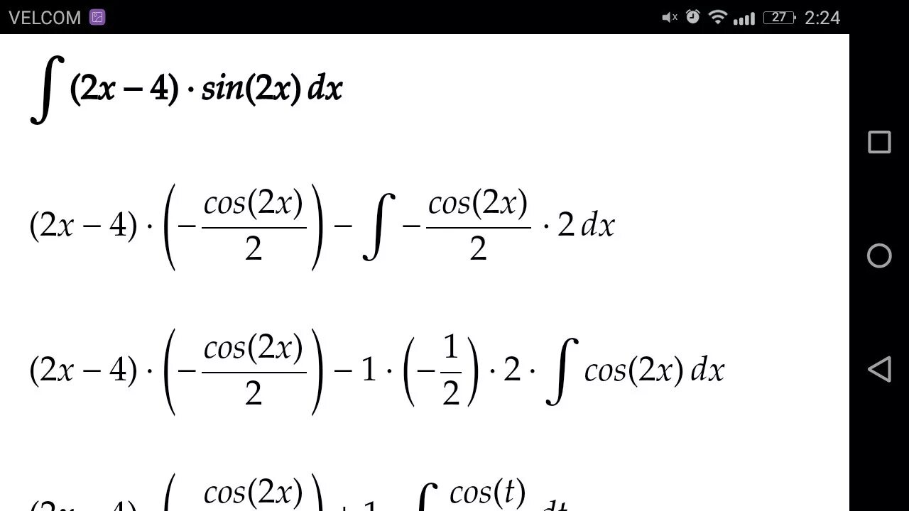
Найдите первообразную f x 5 2 8x