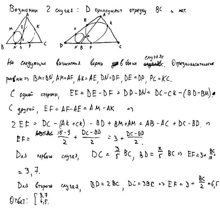
Найдите отношение площадей треугольников pqr и abc