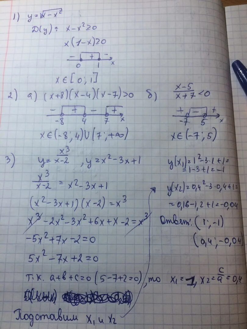
Найдите область определения функции y корень 2x