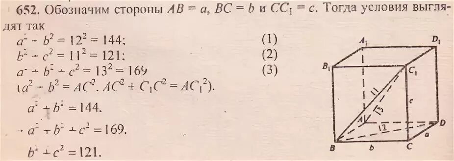
Найдите объем прямоугольного параллелепипеда ас1 13