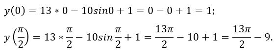
Найдите наименьшее значение функции y 6sinx