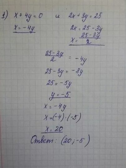
Найдите координаты пересечения прямых 4x