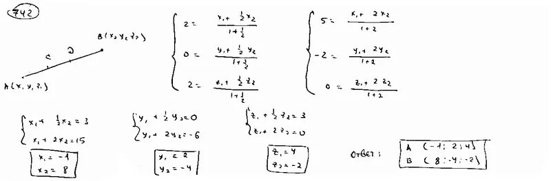
Найдите координаты концов отрезка который точками