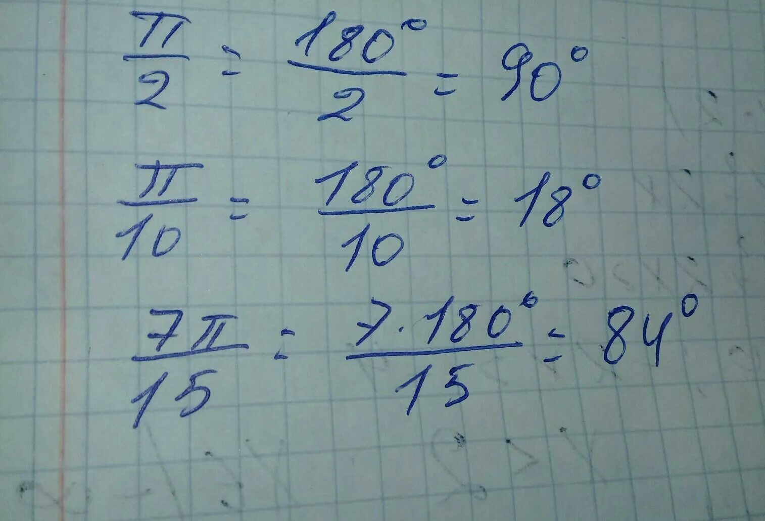
Найдите градусную меру угла равного 3п 4